SY7208是矽力杰(SILERGY)推出的一款內置N-MOSFET開關,1MHz ,2A的DC/DC升壓芯片。該芯片輸入范圍可達:3~25V,效率高達90%。
對于一款升壓IC,如何配置其外圍電路,今天小編以一實際案例對SY7208做一下解析,歡迎討論咨詢,桑尼奇科技孫生,18576699326,QQ:2335804557。(更多詳情)
1、 SY7208 Datasheet典型電路

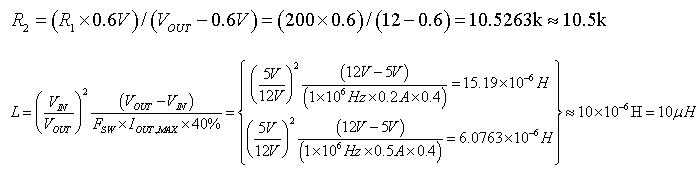
輸入電壓5V, 輸出電流200mA~500mA, 其中200mA轉換效率最高,外圍配置電路:

具體計算:

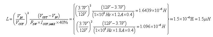
2、實際應用情況:
輸入電壓3.7V, 輸出電流1.2A~1.8A, 外圍配置電路:
R1=200K
具體計算:


以上是對SY7208應用做的一次解析,如需推薦合適DC/DC型號及設計參數咨詢,請隨時聯(lián)系桑尼奇孫生,18576699326,QQ:2335804557。
桑尼奇科技專業(yè)代理銷售多個品牌的DC/DC電源芯片,包括有:MPS、RICHTEK、SILERGY、ETA、FITI、TI、LOWPOWER等品牌,產品輸入從4V~36V,輸出電流0.5~5A,封裝從SOT23-5~SOP8、QFN、BGA等,歡迎咨詢。
(以上信息由深圳桑尼奇科技有限公司提供)
評論列表: